звоните нам c 12.05.2026 с 9 до 19
Каталог

Oil record book. Part II - Cargo/Ballast Operations (Oil Tankers)

  • Oil record book. Part II - Cargo/Ballast Operations (Oil Tankers)
  • Oil record book. Part II - Cargo/Ballast Operations (Oil Tankers)
  • Oil record book. Part II - Cargo/Ballast Operations (Oil Tankers)
  • Oil record book. Part II - Cargo/Ballast Operations (Oil Tankers)
  • Oil record book. Part II - Cargo/Ballast Operations (Oil Tankers)
  • Oil record book. Part II - Cargo/Ballast Operations (Oil Tankers)
  • Oil record book. Part II - Cargo/Ballast Operations (Oil Tankers)
  • Oil record book. Part II - Cargo/Ballast Operations (Oil Tankers)
  • Oil record book. Part II - Cargo/Ballast Operations (Oil Tankers)
Артикул: 00-01033381
в желания В наличии
Место издания: England
Год: 2026
Формат: А4 (210x297 мм) вертикальный горизонтальный
Переплет: Мягкая обложка
Страниц: 52
340 P
-
+

Журнал на английском языке
См. также "Журнал нефтяных операций. Часть 2. Грузовые и балластные операции (для нефтяных танкеров)", содержание которого приводится на русском и английском языках.
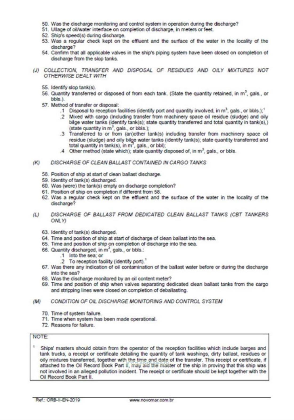
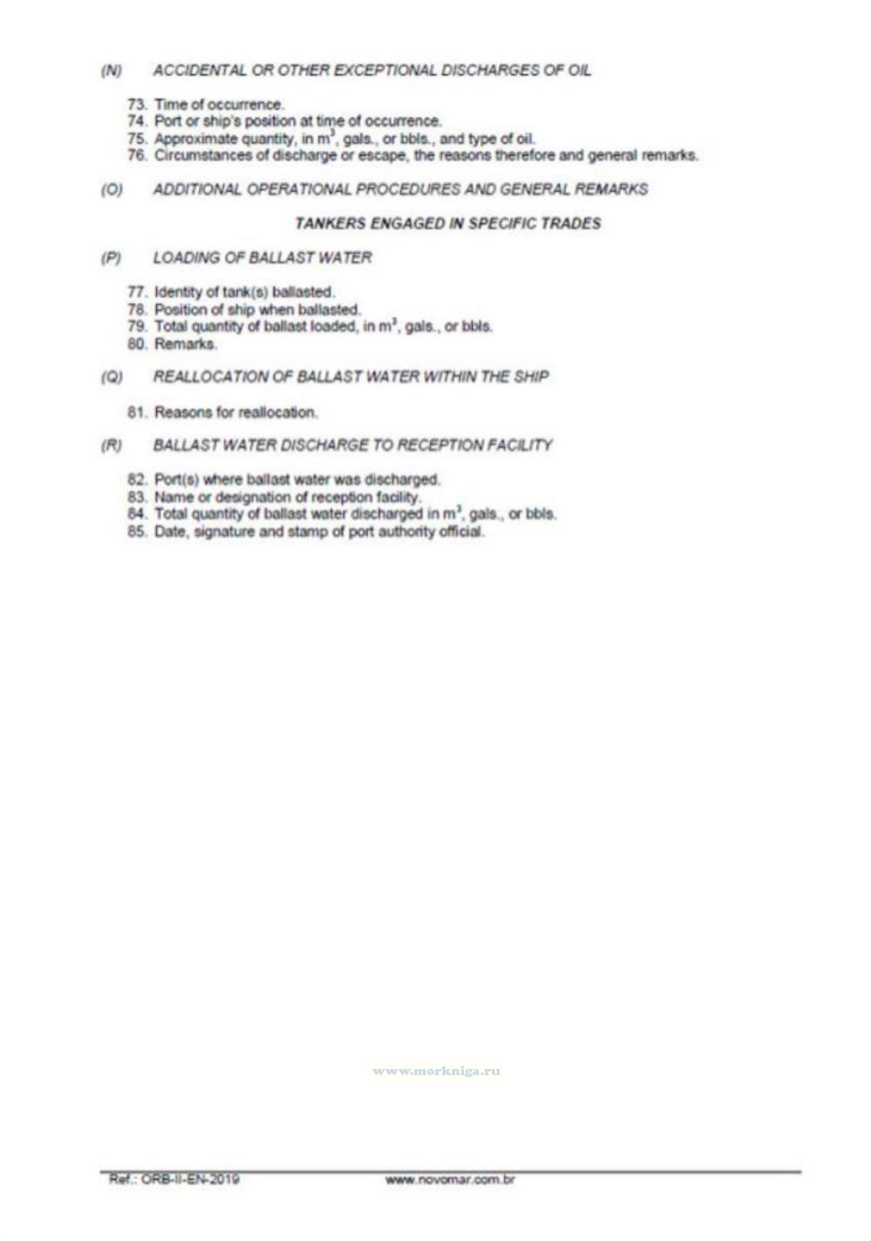
Each oil tanker of 150 gross tons and above or a non oil tanker that carries 200 cubic meters (m3) or more of oil in bulk, shall also maintain an Oil Record Book Part II (Cargo/Ballast Operations) in addition to an Oil Record Book Part I.
The following pages of this section show a comprehensive list of items of cargo and ballast operations which are, vytien appropriate, to be recorded in the Oil Record Book Part II in accordance with regulation 36 of Annex I to MARPOL 73/78. The items have been grouped into operational sections, each of vtfiich is denoted by a letter Code.
When making entries in the Oil Record Book Part II, the date, operational code, and item number shall be inserted in the appropriate columns and the required particulars shall be recorded in chronological order as they have been executed on board. Each operation shall be fully recorded without delay so that all the entries in the book appropriate to that operation are completed. Each operation should be dated in the dd-MONTH-yyyy format (e.g. 20- JAN-2011). Each Completed operation shall be entered and sioned bv the officer/person or officers/persons in charge of the operations concerned and each completed page shall be signed bv the master of the ship.

Здесь Вы можете оставить свой отзыв

Чтобы оставить отзыв на товар Вам необходимо войти или зарегистрироваться